Erleichtern Sie sich die Arbeit mit unserem präzisen Stichprobenrechner und erfahren Sie, wie Sie die Stichprobengröße berechnen. Sie möchten gerne noch mehr erfahren? Dann sehen Sie sich unsere Features und Umfragevorlagen an, die belastbare Ergebnisse liefern.
383
Betreiben Sie Marktforschung? SurveyMonkey Audience liefert Ihnen schnell und bequem die richtigen Teilnehmenden für Umfragen. Anhand demografischer Angaben, Verbraucherverhalten, Geografie oder sogar eines bestimmten Marketingbereichs können Sie leicht die passende Zielgruppe festlegen.
Wie viele Teilnehmende benötigen Sie für Ihre Umfrage? Mit unserem Stichprobenrechner erfassen Sie ganz einfach die nötige Anzahl an Beantwortungen.
Die Anzahl der abgeschlossenen Beantwortungen, die Ihre Umfrage erhält, ist die Stichprobengröße. Sie sollte die Zielpopulation repräsentieren, deren Meinung und Verhalten für Sie wichtig ist.
Sehen wir uns folgende Punkte genauer an:
Die folgenden Schlüsselbegriffe sollten Sie verstehen, damit Sie die Stichprobengröße berechnen können:
Die Populationsgröße ist die Gesamtzahl der Personen in der Gruppe, die Sie untersuchen möchten. Wenn Sie Menschen in Deutschland befragen möchten, läge die Populationsgröße bei etwa 83,6 Millionen. Bei Umfragen in Ihrem Unternehmen entspräche die Populationsgröße der Gesamtzahl der Beschäftigten.
Die Fehlerspanne ist ein Prozentsatz, der angibt, wie genau Umfrageergebnisse die Meinungen der Gesamtpopulation widerspiegeln. Je niedriger die Fehlerspanne, desto genauer ist die Antwort auf einem bestimmten Konfidenzniveau.
Mehr zum Thema: Fehlerspanne berechnen (mit Formel und Beispielen)
Das Konfidenzniveau gibt an, wie sicher Sie sein können, dass die Population eine Antwort innerhalb eines bestimmten Bereichs auswählen wird. Beispielsweise bedeutet ein Konfidenzniveau von 95 % für Sie eine Sicherheit von 95 %, dass die Resultate zwischen den Zahlen X und Y liegen.
Das Konfidenzintervall stellt einen statistischen Wertebereich dar, der das tatsächliche Ergebnis mit einer bestimmten Wahrscheinlichkeit enthält. Ein Konfidenzintervall von 95 % besagt beispielsweise, dass wenn Sie aus derselben Population mehrmals eine Stichprobe ziehen, das tatsächliche Ergebnis bei ca. 95 % der Stichproben innerhalb des Intervalls liegen würde.
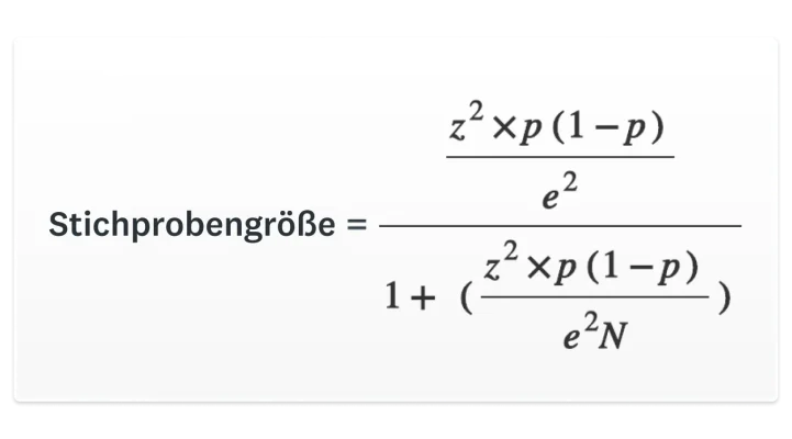
Wie ermitteln Sie die minimale Stichprobengröße für Ihre Befragung? Wenn Sie diesen Wert selbst berechnen möchten, verwenden Sie folgende Formel:
N = Populationsgröße • e = Fehlerspanne (Prozent im Dezimalformat) • z = Z-Wert
Der Z-Wert entspricht der Standardabweichung, die ein bestimmter Anteil vom Mittelwert entfernt ist. Den jeweils richtigen Z-Wert können Sie der nachstehenden Tabelle entnehmen:
| Gewünschtes Konfidenzniveau | Z-Wert |
| 80 % | 1,28 |
| 85 % | 1,44 |
| 90 % | 1,65 |
| 95 % | 1,96 |
| 99 % | 2,58 |
Sehen wir uns einige Beispiele zur Berechnung der Stichprobengröße an:
Angenommen, Sie möchten in einer Stadt mit 500.000 Einwohnern Feedback zu Lieferdiensten erhalten. Der Stichprobenumfang soll ein Konfidenzniveau von 95 % und eine Fehlerspanne von 5 % haben. Unter Verwendung der Formel (oder des Rechners oben) ermitteln Sie eine Stichprobengröße von 384.
Wenn Sie hingegen eine firmenweite Befragung mit 300 Angestellten durchführen und ein Konfidenzniveau von 80 % und eine Fehlerspanne von 10 % wünschen, beträgt die Stichprobengröße 37.
Die Stichprobengröße Ihrer Erhebung hängt häufig vom Ziel und von der Population ab, die Sie befragen möchten.
So kann es beispielsweise ausreichend sein, nur ausgewählte Kundinnen und Kunden zu befragen, wenn es um eine Umfrage zum Kundenfeedback geht. Bei der politischen Meinungsforschung dagegen muss eine Stichprobe ausgewählt werden, die sowohl eine angemessene Größe hat als auch repräsentativ ist, um die Gesamtbevölkerung akkurat widerzuspiegeln.
So können sich die einzelnen Werte auf Ihre Befragung auswirken:
Wirkung der Umfragewerte auf die Genauigkeit der Ergebnisse
| Höherer Wert | Niedrigerer Wert | |
| Populationsgröße | Genauigkeit nimmt ab | Genauigkeit nimmt zu |
| Stichprobengröße | Genauigkeit nimmt zu | Genauigkeit nimmt ab |
| Konfidenzniveau | Genauigkeit nimmt zu | Genauigkeit nimmt ab |
| Fehlerspanne | Genauigkeit nimmt ab | Genauigkeit nimmt zu |
Je nach Anwendungsfall kann entschieden werden, ob eine statistisch signifikante Stichprobengröße verwendet werden sollte:
Es gibt keinen allgemein gültigen Standard für die Bestimmung einer großen Stichprobe. Die Stichprobengröße variiert häufig je nach Kontext, z. B. Fachgebiet oder Forschungsziel.
Eine große Stichprobe bietet in der Regel genügend statistische Aussagekraft, um aussagekräftige Unterschiede in der untersuchten Population zu erkennen. In vielen Bereichen werden Stichproben mit Hunderten von Personen von Fachleuten als groß erachtet.
Allerdings entscheiden die Marktforschenden basierend auf Faktoren wie statistischer Aussagekraft oder verfügbare Ressourcen, wie viele Teilnehmende sie auswählen möchten. Die Größe Ihrer Stichprobe kann auch von der Art der Analyse abhängen, die Sie durchführen. Für einige statistische Tests sind möglicherweise größere Stichproben erforderlich als für andere.
Außerdem sollten Sie bedenken, dass die Größe der Stichprobe auch von der Komplexität der Population abhängen kann. Bei sehr vielfältigen Populationen oder bei der Untersuchung seltener Phänomene kann eine größere Stichprobe erforderlich sein.
Mithilfe dieser Tipps können Sie die optimale Stichprobengröße für Ihre Befragung berechnen:
Der Zweck der Datenerhebung ist für die Stichprobengröße wichtig. Wenn die Stichprobe zu klein ist, sind die Ergebnisse der Umfrage möglicherweise nicht genau. Wenn sie zu groß ist, kann die Erhebung teuer werden oder mehr Zeit in Anspruch nehmen.
Beim Erfassen von Umfragedaten benötigen Sie möglicherweise eine größere Stichprobe, um fundierte Resultate zu erhalten oder die Ergebnisse auf eine größere Gruppe anzuwenden. Kleinere Stichproben könnten ausreichen, wenn Sie die Befragungsdaten hauptsächlich für qualitative Erkenntnisse nutzen möchten.
Größere Stichproben können aufgrund des Aufwands zur Datenerfassung, Teilnehmeranreize und Analyse teurer sein. Bei einem kleineren Budget könnte eine kleinere Stichprobe angemessen sein. Auch zeitliche Beschränkungen können die Stichprobengröße beeinflussen.
Haben Sie nicht viel Zeit für die Befragung, dann ist eine kleinere Stichprobengröße besser, um die Daten schnell zu erfassen. Haben Sie hingegen mehr Zeit haben, sollten Sie eine größere Stichprobe auswählen, um die Genauigkeit Ihrer Resultate zu erhöhen.
Unterschiedliche Umfragetypen können unterschiedliche Herangehensweisen an die Stichprobengröße erforderlich machen. Umfragen zum Kundenfeedback funktionieren mit kleineren Stichproben. Für politische Umfragen hingegen sind größere und repräsentativere Stichproben erforderlich. Passen Sie Ihre Herangehensweise an, um sicherzustellen, dass die Ergebnisse statistisch fundiert und zuverlässig sind.
Bei offenen Fragen müssen detaillierte Antworten eingegeben werden. Dadurch dauert die Beantwortung der Erhebung länger, weil die Befragten mehr schreiben müssen. Dies kann dazu führen, dass einige Teilnehmende die Umfrage nicht abschließen, wodurch es schwieriger wird, eine große Stichprobe zu erreichen. Passen Sie die Anzahl der offenen Fragen an oder planen Sie die Stichprobengröße entsprechend.
Vermeiden Sie häufige Fehler, wenn Sie die Stichprobengröße berechnen. Denn dadurch kann die Effektivität Ihrer Befragung beeinträchtigt werden. Dies könnten insbesondere folgende Punkte sein:
Verwenden Sie unseren Stichprobenrechner, um fundiertere Umfrageergebnisse zu erzielen. Benötigen Sie mehr Befragte, dann verwenden Sie SurveyMonkey Audience. Dadurch erreichen Sie Umfrageteilnehmende weltweit und bekommen Antworten von nahezu jeder gewünschten Zielgruppe.
Nutzen Sie SurveyMonkey Audience, unser globales Umfragepanel von Millionen Menschen, die Ihnen gerne ihre Meinung mitteilen.

Kommen Sie in Ihrem Job voran: Erfahren Sie wie SurveyMonkey Sie bei der Entwicklung überzeugender Strategien, Produkte und Erlebnissen unterstützt.

Erfahren Sie, wie Sie Fragen für qualitative Forschung formulieren, um fundiertere Erkenntnisse zu gewinnen. Mit Fragetypen, Beispielen und Tipps.

Erfahren Sie, wie Hornblower SurveyMonkey und die KI nutzt, um das Beste aus NPS-Daten herauszuholen und die Kundenerfahrung zu verbessern.

Studien zu Trends am Arbeitsplatz und dazu, wie Mitarbeitende ihre private Zeit einteilen, im Homeoffice arbeiten und zur Kombination Homeoffice und Büro


